产品介绍
所在位置:首页 - 产品介绍
胞磷胆碱钠注射液说明书
请仔细阅读说明书并在医师指导下使用。
【药品名称】
通用名称:胞磷胆碱钠注射液
英文名称:Citicoline Sodium Injection
汉语拼音:Baolinclanjianna Zhusheye
【成份】
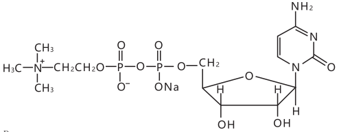
本品活性成份为胞磷胆碱钠。
化学名称:胆碱胞嘧啶核苷二磷酸酯的单钠盐

分了量:C14H25N4NaO11P2
辅料:盐酸、注射用水。
【性 状】本品为无色澄明液体
【适应症】
用于急性颅脑外伤及脑手术后的意识障碍。
【规 格】按C14H26N4O11P2计(1) 2ml:0.25g (2) 4ml:0.5g
【用法用量】
静脉滴注:每次0.25~0.5g,每日1次,用5%或10%的葡萄糖注射液或0.9%氯化钠注射液稀释后缓慢滴注。5~10日为一疗程。
静脉注射:每次0.l~0.2g。
肌肉注射:每日O.l~0.3g,分1-2次注射。
【不良反应】
全身:偶见发热、寒战、倦怠、水肿、过敏样反应,严重者有过敏性休克的报告。
心血管系统:偶见暂时性血压下降或升高、心动过缓和心动过速。
消化系统:偶见恶心、呕吐、食欲不振、胃痛、胃烧灼感、腹泻和肝功能异常。
呼吸系统:有发生过敏性哮喘的报告,严重者可出现呼吸困难和喉水肿。
精神系统:幻觉。
神经系统:偶见眩晕、震颤、头痛、失眠、兴奋、烦躁不安和痉挛。
皮肤五官:偶见皮疹、面色潮红、尊麻疹、紫瘢及一过性复视。
【禁忌】
对本品任何成份过敏者禁用。
副交感神经系统功能亢进患者禁用。
【注意事项】
1、有药物过敏史的患者慎用。
2、对伴有脑出血、脑水肿和颅压增高的严重急性颅脑损伤患名慎用。
3、癫痫及低血压患者慎川。
4、静脉注射时应尽量放慢给药速度。
5、肌注一般不采用,若用时应经常更换注射部位。
6、本品尚未在肝肾功能损伤患者中进行相关研究,肝肾功能损伤患者应慎用胞磷胆碱治疗。只有当预期治疗获益高于任何可能的风险时,才能给予本品。
【孕妇及哺乳期妇女用药】
孕妇及哺乳期妇女用药的安全有效性尚未确立。孕妇及哺乳期妇女慎用,除非经医生评估后认为使用本品的获益大于风险。
【儿童用药】
儿童川药经验有限,因此,只有当预期治疗获益高于潜在的风险时,才能使用本品(根据病情和年龄适当调整剂量)。
【老年用药】
根据病情和年龄适当调整剂量。
【药物相互作用】
本品用于震颤麻痹病人时,不宜与左旋多巴合用,否则可引起肌僵宜恶化。
本品不应与含有甲氯芬命的药物合用。
【药物过量】
用量过大,可能行恶心、呕吐、食欲不振、头痛、失眠、兴奋、痉挛等症状,可减量,并对症处理。
【临床药理】
本品注射后血药浓度迅速下降,30分钟降至注入时的1/3,1-2小时基本稳定,分布以肝内最多,占10%。在肝脏代谢为游离胆碱和胞甘二磷酸,主要经肾脏和肺清除,原药半衰期为3.5小时,主要代谢物胆碱的清除半衰期为2小时。本品较难通过血脑屏障,进入脑内的药物很少,仅占0.1%,但药物在脑内停留时间很长,注射后3小时内药物浓度达峰值,并在24小时内保持不变;而且损伤脑比正常脑、受损半球比未受损半球的胞磷胆碱含量明显升高。
【药理毒理】
胞磷胆碱为核甘衍生物,可增强脑干网状结构、尤其是与意识密切相关的上行网状结构激动系统的机能;增强锥体系统的机能,改善运动麻痹;改善大脑循环,通过减少大脑血流阻力,增加大脑向流而促进人脑物质代谢,对促进大脑功能恢复和促进苏醒等具有一定作用。
【贮藏】
避光,密闭,不超过25℃保存。
【包装】
中硼硅玻璃安瓶包装。
2ml: 0.25g 规格:10支/盒,
4ml: 0.5g 规格:5支/盒,
【有效期】24个月
[执行标准】YBH07122023
[批准文号】(1) 2ml:0.25g 国药准字H20233658 (2) 4m1:0.5g 国药准RH20233659
【上市许可持有人】
名称:北京金城泰尔制药有限公司
注册地址:北京市顺义区北务镇民泰路9号(科技创新功能区)
邮政编码:101300
电话号码:010-61425921 61425923
传真号码:010-61425921
网址:www. jetrzy. com
【生产企业】
企业名称:山西普德药业有限公司
生产地址:山西省大同经济技术开发区第一医药园区
邮政编码:037010
电话号码:0352-5375422
传真号码:0352-5375455
网 址: ww. pudepharma. com




鲁公网安备 37030202000396号 